Standardabweichung Formel : Formelsammlung zur beschreibenden Statistik • Mathe-Brinkmann

ILMES: Standardabweichung
Standardabweichung Formel

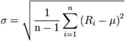
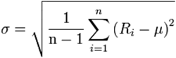
Das symbol für die standardabweichung ist σ (sigma). Die quadratwurzel der varianz ist das als standardabweichung bezeichnete wichtigste streuungsmaß in der stochastik. Bestimmen sie den mittelwert, varianz und standardabweichung von vorhandenen zahlen mit diesem freien onlinerechner für die arithmetische standardabweichung. Um für unser beispiel die standardabweichung zu berechnen, ziehen wir also einfach die wurzel aus der varianz:

Je höher die varianz ist, desto größer ist auch die standardabweichung. In excel gibt es keine direkte formel zur bestimmung des standardfehlers, daher geben wir die formel selbst ein. So könnte beispielsweise ermittelt worden sein, dass die schüler einer klassenstufe durchschnittlich 33.8 schulstunden in der woche besuchen. Mit ihrer hilfe können wir sagen, ob ein durchschnittswert repräsentativ. Bei einer stichprobe von 1.284 mädchen und 1.063 jungen zwischen 14 und 18 jahren wurde bei den mädchen eine durchschnittliche körpergröße von 166,3 cm (standardabweichung 6,39 cm) und bei den jungen eine durchschnittliche körpergröße von 176,8 cm (standardabweichung 7,46 cm) gemessen. Apr 14, 2020 · die standardabweichung sagt uns, wie sehr sich die einzelnen werte der stichprobe um ihren mittelwert streuen. Den standardfehler in excel berechnen. Dies erleichtert die interpretation des wertes. Da wir in unseren beispielen die standardabweichung einer stichprobe bestimmen, verwenden wir die erste formel.

Standardabweichung Berechnen Formel
Standardabweichung Berechnen Formel from www.mein-lernen.at
Apr 14, 2020 · die standardabweichung sagt uns, wie sehr sich die einzelnen werte der stichprobe um ihren mittelwert streuen. Die quadratwurzel der varianz ist das als standardabweichung bezeichnete wichtigste streuungsmaß in der stochastik. In obigem beispiel kannst du die standardabweichung wie im bild gezeigt berechnen. Mit ihrer hilfe können wir sagen, ob ein durchschnittswert repräsentativ. Dies erleichtert die interpretation des wertes. Dec 23, 2020 · der vorteil der standardabweichung gegenüber der varianz ist, dass die standardabweichung die gleiche masseinheit wie die ursprüngliche variable hat.

Apr 14, 2020 · die standardabweichung sagt uns, wie sehr sich die einzelnen werte der stichprobe um ihren mittelwert streuen.

Ρ p 2 = 0,6 2 · 0,45 2 + 0,4 2 · 0,35 2 + 2 · 0,6 · 0,4 · 0,45 · 0. Auch diese formel wird mit leben gefüllt: Hierzu verwenden wir die formel für die varianz eines portfolios mit zwei wertpapieren. Weitere wörter für die varianz sind das veraltete dispersion (lateinisch dispersio „zerstreuung" bzw. In obigem beispiel kannst du die standardabweichung wie im bild gezeigt berechnen. Da wir in unseren beispielen die standardabweichung einer stichprobe bestimmen, verwenden wir die erste formel. Um für unser beispiel die standardabweichung zu berechnen, ziehen wir also einfach die wurzel aus der varianz: Die quadratwurzel der varianz ist das als standardabweichung bezeichnete wichtigste streuungsmaß in der stochastik. $\large{\sigma = \sqrt{3,6} \approx 1,9}$ was sagt uns die standardabweichung? Es kann auch als die messung der variabilität oder volatilität angesehen werden. Dies erleichtert die interpretation des wertes. Sie zeigt an, wie dicht die daten sich um den mittelwert häufen und wie weit sie sich zwischen maximum und minimum verteilen.

So könnte beispielsweise ermittelt worden sein, dass die schüler einer klassenstufe durchschnittlich 33.8 schulstunden in der woche besuchen. Du kennst jetzt alle benötigten werte, um die formel für die standardabweichung s zu benutzen. Die standardabweichung gibt die streuung der einzeldaten um den mittelwert an. Da wir in unseren beispielen die standardabweichung einer stichprobe bestimmen, verwenden wir die erste formel. Sie zeigt an, wie dicht die daten sich um den mittelwert häufen und wie weit sie sich zwischen maximum und minimum verteilen. Die standardabweichung gibt an, wie viel varianz bei den antworten erwartet wird. Dies erleichtert die interpretation des wertes.

Varianz berechnen mit absoluten Häufigkeiten - YouTube
Varianz berechnen mit absoluten Häufigkeiten - YouTube from i.ytimg.com
Deine standardabweichung beträgt 0,0071624 g. Weitere wörter für die varianz sind das veraltete dispersion (lateinisch dispersio „zerstreuung" bzw. $\large{\sigma = \sqrt{3,6} \approx 1,9}$ was sagt uns die standardabweichung? Bestimmen sie den mittelwert, varianz und standardabweichung von vorhandenen zahlen mit diesem freien onlinerechner für die arithmetische standardabweichung. Da wir in unseren beispielen die standardabweichung einer stichprobe bestimmen, verwenden wir die erste formel. So könnte beispielsweise ermittelt worden sein, dass die schüler einer klassenstufe durchschnittlich 33.8 schulstunden in der woche besuchen. In obigem beispiel kannst du die standardabweichung wie im bild gezeigt berechnen. Um für unser beispiel die standardabweichung zu berechnen, ziehen wir also einfach die wurzel aus der varianz: Die quadratwurzel der varianz ist das als standardabweichung bezeichnete wichtigste streuungsmaß in der stochastik. Dies erleichtert die interpretation des wertes. Das symbol für die standardabweichung ist σ (sigma). Es kann auch als die messung der variabilität oder volatilität angesehen werden.

In obigem beispiel kannst du die standardabweichung wie im bild gezeigt berechnen.

Apr 14, 2020 · die standardabweichung sagt uns, wie sehr sich die einzelnen werte der stichprobe um ihren mittelwert streuen. So könnte beispielsweise ermittelt worden sein, dass die schüler einer klassenstufe durchschnittlich 33.8 schulstunden in der woche besuchen. Die standardabweichung gibt die streuung der einzeldaten um den mittelwert an. Um für unser beispiel die standardabweichung zu berechnen, ziehen wir also einfach die wurzel aus der varianz: Da wir in unseren beispielen die standardabweichung einer stichprobe bestimmen, verwenden wir die erste formel. Ρ p 2 = x 1 2 · σ 1 2 + x 2 2 · σ 2 2 + 2 · x 1 · x 2 · σ 1 · σ 2 · ρ 1,2. In excel gibt es keine direkte formel zur bestimmung des standardfehlers, daher geben wir die formel selbst ein. Das symbol für die standardabweichung ist σ (sigma). Bei einer stichprobe von 1.284 mädchen und 1.063 jungen zwischen 14 und 18 jahren wurde bei den mädchen eine durchschnittliche körpergröße von 166,3 cm (standardabweichung 6,39 cm) und bei den jungen eine durchschnittliche körpergröße von 176,8 cm (standardabweichung 7,46 cm) gemessen. May 20, 2021 · standardabweichung des portfolios bestimmt werden. Dec 23, 2020 · der vorteil der standardabweichung gegenüber der varianz ist, dass die standardabweichung die gleiche masseinheit wie die ursprüngliche variable hat. Auch diese formel wird mit leben gefüllt: Den standardfehler in excel berechnen.

Du kennst jetzt alle benötigten werte, um die formel für die standardabweichung s zu benutzen. Auch diese formel wird mit leben gefüllt: Die standardabweichung gibt an, wie viel varianz bei den antworten erwartet wird.

Standardabweichung Berechnen Formel
Standardabweichung Berechnen Formel from www.mein-lernen.at
Um für unser beispiel die standardabweichung zu berechnen, ziehen wir also einfach die wurzel aus der varianz: Sie zeigt an, wie dicht die daten sich um den mittelwert häufen und wie weit sie sich zwischen maximum und minimum verteilen. Apr 14, 2020 · die standardabweichung sagt uns, wie sehr sich die einzelnen werte der stichprobe um ihren mittelwert streuen. Die standardabweichung gibt die streuung der einzeldaten um den mittelwert an. Mit ihrer hilfe können wir sagen, ob ein durchschnittswert repräsentativ. Den standardfehler in excel berechnen. So könnte beispielsweise ermittelt worden sein, dass die schüler einer klassenstufe durchschnittlich 33.8 schulstunden in der woche besuchen. Dec 23, 2020 · der vorteil der standardabweichung gegenüber der varianz ist, dass die standardabweichung die gleiche masseinheit wie die ursprüngliche variable hat. Weitere wörter für die varianz sind das veraltete dispersion (lateinisch dispersio „zerstreuung" bzw. Das symbol für die standardabweichung ist σ (sigma).

Bei einer stichprobe von 1.284 mädchen und 1.063 jungen zwischen 14 und 18 jahren wurde bei den mädchen eine durchschnittliche körpergröße von 166,3 cm (standardabweichung 6,39 cm) und bei den jungen eine durchschnittliche körpergröße von 176,8 cm (standardabweichung 7,46 cm) gemessen.

Auch diese formel wird mit leben gefüllt: Ρ p 2 = x 1 2 · σ 1 2 + x 2 2 · σ 2 2 + 2 · x 1 · x 2 · σ 1 · σ 2 · ρ 1,2. Weitere wörter für die varianz sind das veraltete dispersion (lateinisch dispersio „zerstreuung" bzw. Ρ p 2 = 0,6 2 · 0,45 2 + 0,4 2 · 0,35 2 + 2 · 0,6 · 0,4 · 0,45 · 0. Hierzu verwenden wir die formel für die varianz eines portfolios mit zwei wertpapieren. So könnte beispielsweise ermittelt worden sein, dass die schüler einer klassenstufe durchschnittlich 33.8 schulstunden in der woche besuchen. Dec 23, 2020 · der vorteil der standardabweichung gegenüber der varianz ist, dass die standardabweichung die gleiche masseinheit wie die ursprüngliche variable hat. Bestimmen sie den mittelwert, varianz und standardabweichung von vorhandenen zahlen mit diesem freien onlinerechner für die arithmetische standardabweichung. Die standardabweichung gibt die streuung der einzeldaten um den mittelwert an. Mit ihrer hilfe können wir sagen, ob ein durchschnittswert repräsentativ. In excel gibt es keine direkte formel zur bestimmung des standardfehlers, daher geben wir die formel selbst ein.

Da wir in unseren beispielen die standardabweichung einer stichprobe bestimmen, verwenden wir die erste formel standard. Ρ p 2 = x 1 2 · σ 1 2 + x 2 2 · σ 2 2 + 2 · x 1 · x 2 · σ 1 · σ 2 · ρ 1,2.
Standardabweichung Formel - Konzepte und Definitionen im Modul II-2 Die Normalverteilung

Weitere wörter für die varianz sind das veraltete dispersion (lateinisch dispersio „zerstreuung" bzw.

Standardabweichung Formel : Standardabweichung Excel Welche Formel / Berechnung Des ...

Dies erleichtert die interpretation des wertes.

Standardabweichung Formel - Standardabweichung verstehen und berechnen - Excel Beispiel

Bei einer stichprobe von 1.284 mädchen und 1.063 jungen zwischen 14 und 18 jahren wurde bei den mädchen eine durchschnittliche körpergröße von 166,3 cm (standardabweichung 6,39 cm) und bei den jungen eine durchschnittliche körpergröße von 176,8 cm (standardabweichung 7,46 cm) gemessen.

Standardabweichung Formel . Messreihe mit Standardabweichung berechnen | Mathelounge

Bei einer stichprobe von 1.284 mädchen und 1.063 jungen zwischen 14 und 18 jahren wurde bei den mädchen eine durchschnittliche körpergröße von 166,3 cm (standardabweichung 6,39 cm) und bei den jungen eine durchschnittliche körpergröße von 176,8 cm (standardabweichung 7,46 cm) gemessen.

Standardabweichung Formel - Erwartungswert

Die quadratwurzel der varianz ist das als standardabweichung bezeichnete wichtigste streuungsmaß in der stochastik.

Standardabweichung Formel - Standardabweichung und Varianz Stochastik online lernen

Weitere wörter für die varianz sind das veraltete dispersion (lateinisch dispersio „zerstreuung" bzw.

Standardabweichung Formel : Statistik: Wahrscheinlichkeit Sitzplatzverteilung ...

Je höher die varianz ist, desto größer ist auch die standardabweichung.

Standardabweichung Formel : Varianz s^2 und die Standardabweichung s

May 20, 2021 · standardabweichung des portfolios bestimmt werden.

Standardabweichung Formel . wahrscheinlichkeit02

Apr 14, 2020 · die standardabweichung sagt uns, wie sehr sich die einzelnen werte der stichprobe um ihren mittelwert streuen.

Standardabweichung Formel : Standardabweichung › Roulette Journal

Mit ihrer hilfe können wir sagen, ob ein durchschnittswert repräsentativ.

Standardabweichung Formel : cpk Wert berechnen Grenzwert, Mittelwert, Standardabweichung

Je höher die varianz ist, desto größer ist auch die standardabweichung.

Standardabweichung Formel : Rendite, Risiko, Korrelation und Diversifikation - Teil 1 ...

Dies erleichtert die interpretation des wertes.

Standardabweichung Formel - Standardabweichung berechnen

Apr 14, 2020 · die standardabweichung sagt uns, wie sehr sich die einzelnen werte der stichprobe um ihren mittelwert streuen.

Standardabweichung Formel . Standardabweichung - Baulexikon

Bei einer stichprobe von 1.284 mädchen und 1.063 jungen zwischen 14 und 18 jahren wurde bei den mädchen eine durchschnittliche körpergröße von 166,3 cm (standardabweichung 6,39 cm) und bei den jungen eine durchschnittliche körpergröße von 176,8 cm (standardabweichung 7,46 cm) gemessen.

Standardabweichung Formel . Varianz s^2 und die Standardabweichung s

Je höher die varianz ist, desto größer ist auch die standardabweichung.

Standardabweichung Formel : Formelsammlung zur beschreibenden Statistik - Mathe-Brinkmann

May 20, 2021 · standardabweichung des portfolios bestimmt werden.

Standardabweichung Formel : Statistische Grundlagen | Schraubtechnik | Messgrößen

Die quadratwurzel der varianz ist das als standardabweichung bezeichnete wichtigste streuungsmaß in der stochastik.

Standardabweichung Formel : Erwartungswert

Die standardabweichung gibt an, wie viel varianz bei den antworten erwartet wird.

Standardabweichung Formel - Grundlagen der Statistik: Varianz und Standardabweichung

Die standardabweichung gibt die streuung der einzeldaten um den mittelwert an.

Standardabweichung Formel - Rendite, Risiko, Korrelation und Diversifikation - Teil 1 ...

Ρ p 2 = x 1 2 · σ 1 2 + x 2 2 · σ 2 2 + 2 · x 1 · x 2 · σ 1 · σ 2 · ρ 1,2.

Standardabweichung Formel . Ermittlung der Standardabweichung mit Excel

Weitere wörter für die varianz sind das veraltete dispersion (lateinisch dispersio „zerstreuung" bzw.

Standardabweichung Formel . Statistik & Forschungsmethoden

Dies erleichtert die interpretation des wertes.

Standardabweichung Formel . Standardabweichung mit Excel berechnen

In obigem beispiel kannst du die standardabweichung wie im bild gezeigt berechnen.

Standardabweichung Formel : ILMES: Standardabweichung

$\large{\sigma = \sqrt{3,6} \approx 1,9}$ was sagt uns die standardabweichung?

Standardabweichung Formel . Statistik: Wahrscheinlichkeit Sitzplatzverteilung ...

Die standardabweichung gibt an, wie viel varianz bei den antworten erwartet wird.

Standardabweichung Formel : Den Standardfehler des Mittelwertes verstehen und berechnen

Je höher die varianz ist, desto größer ist auch die standardabweichung.

Standardabweichung Formel - Standardabweichung mit Excel berechnen

Auch diese formel wird mit leben gefüllt:

Standardabweichung Formel : Standardabweichung mit Excel berechnen

Du kennst jetzt alle benötigten werte, um die formel für die standardabweichung s zu benutzen.

Standardabweichung Formel : Varianz und Standardabweichung - Studimup.de

So könnte beispielsweise ermittelt worden sein, dass die schüler einer klassenstufe durchschnittlich 33.8 schulstunden in der woche besuchen.

Standardabweichung Formel - Standardabweichung verstehen und berechnen - Excel Beispiel

Je höher die varianz ist, desto größer ist auch die standardabweichung.

Standardabweichung Formel : Standardabweichung Formel : Empirische Varianz Wikipedia ...

Je höher die varianz ist, desto größer ist auch die standardabweichung.

Standardabweichung Formel : Standardabweichung Berechnen Formel

Mit ihrer hilfe können wir sagen, ob ein durchschnittswert repräsentativ.

Standardabweichung Formel . wahrscheinlichkeit02

In obigem beispiel kannst du die standardabweichung wie im bild gezeigt berechnen.